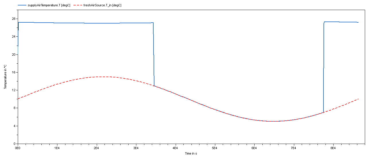
This model demonstrates the usage of the facade ventilation unit connected to the standard controller. The inputs are the room and the outdoor temperaure. Those temperatures and the room temperature set point are sine waves with a period of one day, which all have a different phase. The simulation result depicted in the following figure shows the behavior of the two-point controller that opens the heating valve fully for heating. For cooling, it closes the heating valve and bypasses the heat recovery unit so that the supply air temperature is equal to the outdoor temperature.

| Name | Description |
|---|---|
|
|
|
|
|