.AixLib.ThermalZones.ISO13790.Zone5R1C.Zone

Thermal zone based on 5R1C network

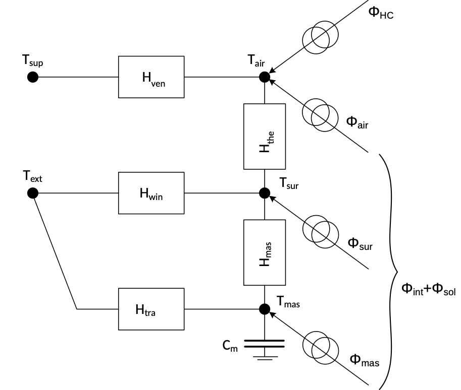
Information

This is a lumped-capacity simplified building model based on the 5R1C network presented in the ISO 13790:2008 Standard. The simplified 5R1C model uses five thermal resistances and one thermal capacity to reproduce the transient thermal behaviour of buildings. The thermal zone is modeled with three temperature nodes, the indoor air temperature TAir, the envelope internal surface temperature TSur and the zone's mass temperature TMas (the heat port is not shown in the figure), and two boundary condition nodes, supply air temperature TSup and the external air temperature TExt. The five resistances are related to heat transfer by ventilation HVen, windows HWin, opaque components (split between HTra and HMas) and heat transfer between the internal surfaces of walls and the air temperature HThe. The thermal capacity Cm includes the thermal capacity of the entire zone. The heating and/or cooling demand is found by calculating the heating and/or cooling power ΦHC that needs to be supplied to, or extracted from, the internal air node to maintain a certain set-point. Internal, Φint , and solar, Φsol, heat gains are input values, which are split in three components.


image


The ventilation heat transfer coefficient Hven is calculated using

Hven = ρa cakk,

where ρa is the density of air, ca is the specific heat capacity of air and k is the k-th volumetric external air flow rate. The coupling conductance Hthe is given by

Hthe = has Atot,

where has is the heat transfer coefficient between the air node the surface node, with a fixed value of 3.45 W/m2K, and Atot is the area of all surfaces facing the building zone. The thermal transmission coefficient of windows Hwin is calculated using

Hwin = ∑kUwin,kAwin,k,

where Uwin,k is the thermal transmittance of window element k of the building envelope and Ak is the area of the window element k of the building envelope. The coupling conductance Hmas is given by

Hmas =hms fms Af,

where hms is the heat transfer coefficient between the mass node and the surface node, with fixed value of 9.1 W/m2K, fms is a correction factor, and Af is the floor area. The correction factor fms can be assumed as 2.5 for light and medium building constructions, and 3 for heavy constructions. The coupling conductance Htra is calculated using

Htra = 1 ⁄ (1 ⁄ Hop - 1 ⁄ Hmas),

where Hop is the thermal transmission coefficient of opaque elements. The three heat gains components are calculated using

Φair = 0.5 Φint,

Φsur = (1-fms Af ⁄ Atot -Hwin ⁄ hms Atot)(0.5 Φint+ Φsol),

Φmas = fms Af ⁄ Atot (0.5Φint + Φsol).

Tips for parametrization

Revisions


Generated at 2026-04-15T18:18:36Z by OpenModelicaOpenModelica 1.26.3 using GenerateDoc.mos