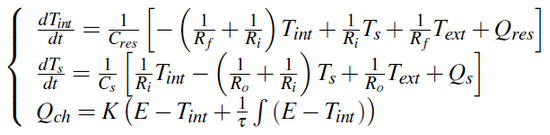
Hypothesis and equations
Here is the electric diagram of the simplified R3C2 building model :

Inputs/outputs of the global closed loop system, with parameters of the PI controller (gain K and integration constant Tau) :

Identification of the variables and default values :

Comparison measurement / calculation :

Bibliography
This simplified R3C2 building model is part of the thesis of Chadia Zayane (EMP, 2001), entitled :
Identification d'un modèle de comportement thermique de bâtiment à partir de sa courbe de charge
Instructions for use
Take care to parameter your PID controller with the default values of the table above :
Glazings of the building are represented apart from the R3C2 model by a South equivalent glazed surface with these parameters :
Known limits / Use precautions
none
Validations
Validated model - Hassan Bouia 01/2016
--------------------------------------------------------------
Licensed by EDF under a 3-clause BSD-license
Copyright © EDF 2009 - 2023
BuildSysPro version 3.6.0
Author : Hassan BOUIA, EDF (2016)
--------------------------------------------------------------