.BuildingSystems.Fluid.Geothermal.Aquifer.Validation.SimulationTest

Test model for aquifer thermal energy storage in comparison with other geothermal simulators

Information

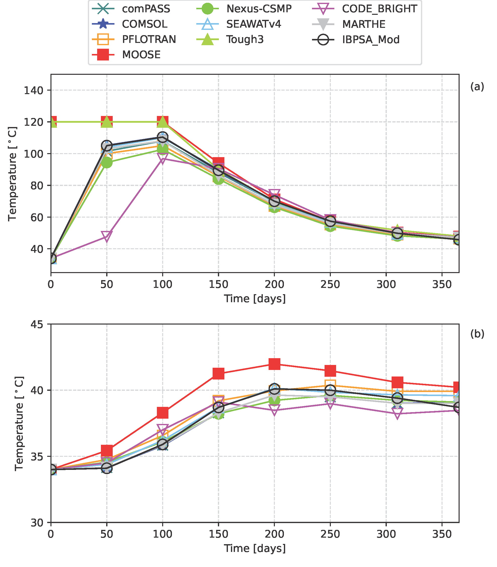
This validation case simulates an idealized operation of an aquifer thermal storage system. Results are compared with simulations from a test suite developed by Mindel et al. (2021). This test suite comprises a set of cases to assess the thermo-hydraulic modelling capabilities of various geothermal simulators.

The comparison was carried out with respect to the test case called TC2 - well-test comparison. The main goal of TC2 is to compare aquifer temperatures under a typical operation of an ATES system consisting of injection, falloff, drawdown, and build-up. The injection phase represents the charging period, while the drawdown phase represents the discharge period. Intermediate phases of falloff and build-up represent periods of storage or inactivity. The overall operational period is one year, and the sequence of the different phases is the following:

The figure below shows the temperature vs. time comparison for a virtual sensor located at r = 1 m and r= 10 m from the well.

image

References

Julian E. Mindel, Peter Alt-Epping, Antoine Armandine Les Landes, Stijn Beernink, Daniel T. Birdsell, Martin Bloemendal, Virginie Hamm, Simon Lopez, Charles Maragna, Carsten M. Nielsen, Sebastia Olivella, Marc Perreaux, Maarten W. Saaltink, Martin O. Saar, Daniela Van den Heuvel, Ruben Vidal, Thomas Driesner, Benchmark study of simulators for thermo-hydraulic modelling of low enthalpy geothermal processes, Geothermics, Volume 96, 2021, 102130, ISSN 0375-6505, https://doi.org/10.1016/j.geothermics.2021.102130.

Contents

Name Description
 Medium Medium model

Revisions


Generated at 2026-04-15T18:18:36Z by OpenModelicaOpenModelica 1.26.3 using GenerateDoc.mos