.ChaoticCircuits.Components.DynamicDiode

Dynamic diode model including junction and diffusion capacitance

Information

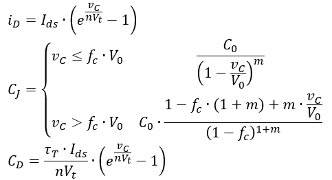
This is a dynamic diode model according to [Tietze2019] :

Note:

High current injection and breakthrough are not taken into account.
This model might not be suited for all experiments i.e. boundary conditions, but it works as expected for the RLD - circuit.


Generated at 2026-04-14T18:18:34Z by OpenModelicaOpenModelica 1.26.3 using GenerateDoc.mos