.ChaoticCircuits.UsersGuide.Overview

Overview

Information

Chaotic circuits have received considerable interest in the literature because they have been applied in numerous areas such as secure communications, robotics, image processing or random number generator. One of the most important research directions is constructing robust chaotic oscillators with simple structures. There are two kinds of simple chaotic oscillators: non-autonomous and autonomous oscillators. Autonomous systems show oscillations without excitation, otherwise excitation (besides energy supply) is needed. Note that an oscillator is not a perpetuum mobile but needs energy supply either an explicitely modeled source voltage or implicitely. The operational amplifiers might have a supply voltage not explicitely modeled.

In these examples simple systems are presented:

Lotka-Volterra
Van der Pol oscillator
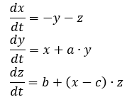
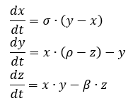
Lorenz system
Roessler system
Chua's circuit nonlinear conductor (two NICs) with partly negative slope
Chaotic diode circuit [Pham2016] A simple chaotic circuit with a light-emitting diode
Chaotic oscillator [Tamasevicius2005] A simple chaotic oscillator for educational purposes
Colpitts circuit using a transistor (npn)
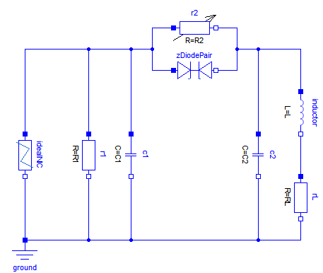
Shinriki oscillator two antiparallel Z-diodes and nonlinear conductor (NIC) with partly negative slope
Jerk circuit
Rikitake system Two coupled disc dynamos
Chuas Circuit with memristor Replacing Chua's diode with a memristor
RLD resonant circuit Dynamic diode model in parallel to the capacitor

Generated at 2026-04-14T18:18:34Z by OpenModelicaOpenModelica 1.26.3 using GenerateDoc.mos