This function evaluates the cylindrical heat source solution. This solution gives the relation between the constant heat transfer rate (per unit length) injected by a cylindrical heat source of infinite length and the temperature raise in the medium. The cylindrical heat source solution is defined by

where ΔT(t,r) is the temperature raise after a time t of constant heat injection and at a distance r from the cylindrical source, Q' is the heat injection rate per unit length, ks is the soil thermal conductivity, Fo is the Fourier number, aSois is the ground thermal diffusivity, rb is the radius of the cylindrical source and G is the cylindrical heat source solution.
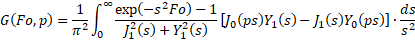
The cylindrical heat source solution is given by:

The integral is solved numerically, with the integrand defined in IBPSA.Fluid.Geothermal.Borefields.BaseClasses.ThermalResponseFactors.cylindricalHeatSource_Integrand.
function cylindricalHeatSource extends Modelica.Icons.Function; input Modelica.SIunits.Time t "Time"; input Modelica.SIunits.ThermalDiffusivity aSoi "Ground thermal diffusivity"; input Modelica.SIunits.Distance dis "Radial distance between borehole axes"; input Modelica.SIunits.Radius rBor "Radius of emitting borehole"; output Real G "Thermal response factor of borehole 1 on borehole 2"; end cylindricalHeatSource;