.Modelica.Electrical.Analog.Sources.LightningImpulse

Lightning impulse voltage or current trajectory

Information

Simplified trajectory of an impulse (like the current of lightnings) as one of two choices:

The parameters of the trajectory are defined by:

Explanations

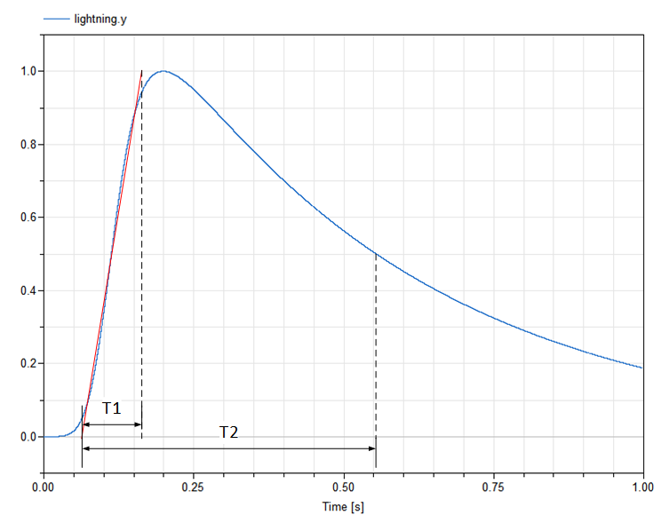
According to Fig. 1, a straight line between 0.1 and 0.9 of the amplitude is drawn. The virtual start of the trajectory is defined by the intersection of this straight line and the abscissa. The rise time T1 is defined as the time span between the virtual start of the trajectory and the point in time when the straight line reaches the amplitude. The decay time to half value T2 is defined as the time span between the virtual start and the point in time when the output falls below 0.5 of the amplitude.

Note: Due to numerical reasons, for the double-exponential function T1 < 0.2*T2 is required.

Fig. 1: Parameters of the lightning current

Note

For a standard trajectory with amplitude = 100 kA, T1 = 10 µs, T2 = 350 µs the integral of the output reaches the required charge Q = 50 C nearly perfect.

References


Generated at 2026-04-15T18:18:36Z by OpenModelicaOpenModelica 1.26.3 using GenerateDoc.mos