Approximates a function in a region between x0 and
x1 such that
In this region, a continuation is constructed from the given
points (x0, y0), (x1, y1) and the
respective derivatives. For this purpose, a single polynomial of
third order or two cubic polynomials with a linear section in
between are used [Gasparo and Morandi, 1991]. This
algorithm was extended with two additional conditions to avoid
saddle points with zero/infinite derivative that lead to integrator
step size reduction to zero.
This function was developed for pressure loss correlations
properly addressing the static head on top of the established
requirements for monotonicity and smoothness. In this case, the
present function allows to implement the exact solution in the
limit of x1-x0 -> 0 or y1-y0 ->
0.
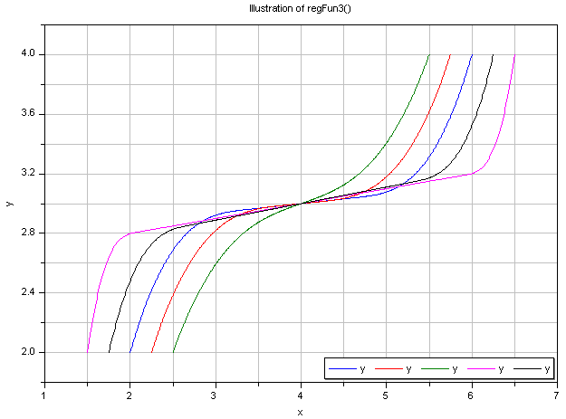
Typical screenshots for two different configurations are shown
below. The first one illustrates five different settings of
xi and yid:

The second graph shows the continuous derivative of this regularization function:

Literature
function regFun3 extends Modelica.Icons.Function; input Real x "Abscissa value"; input Real x0 "Lower abscissa value"; input Real x1 "Upper abscissa value"; input Real y0 "Ordinate value at lower abscissa value"; input Real y1 "Ordinate value at upper abscissa value"; input Real y0d "Derivative at lower abscissa value"; input Real y1d "Derivative at upper abscissa value"; output Real y "Ordinate value"; output Real c "Slope of linear section between two cubic polynomials or dummy linear section slope if single cubic is used"; end regFun3;
(x0,y0) and (x1,y1) on horizontal line,
then return value c was undefined. This was corrected.
Furthermore, an additional term was included for the computation of
y in this case to assist automatic
differentiation.