Generate the trayectory of a circle from parametric equations
General
This blocks generates the x and y coordinates of a circle trayectory with the circle parametric equation.
Implementation
It inherits the real interfaces from the block for multiple outputs
Modelica.Blocks.Interfaces.MO
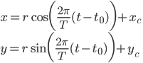
The parametric equations implemented are:
r: radius, T:period, xc and yc : x and y coordinates of the center, t0: start time.
Notes
-
The output is an array y where y[1] is the x coordinate and y[2] is the y coordinate.
-
To connect the output to other component the user must input the index of the array (1 or 2).
-
The user can change the radius, center and the time to complete the circle trayectory by changing the parameters of the block.
Example
With the default parameters the plot results will be:
and with plot parametric:
Generated at 2026-01-29T19:15:51Z
by OpenModelicaOpenModelica 1.26.1 using GenerateDoc.mos