Generic equation of a Prismatic-Rotational mechanism inverse kinematics
General
With this block the inverse kinematics of prismatic-rotational mechanism given the specifications of PR model is obtain
Servomechanisms.Mechanism.PR.
Implementation
It inherits the real interfaces from the block for multiple inputs and multiple outputs
Modelica.Blocks.Interfaces.MIMO
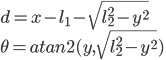
The joint variables are determine by:
Notes
-
The input is an array u where u[1] is the x coordinate and u[2] is the y coordinate of a trayectory located at final frame of the second link.
To connect a signal to the intput u the user must input the index of the array (1 or 2).
-
The output is an array y where y[1] is the first joint coordinate and y[2] is the second joint coordinate.
To connect the output y to other component the user must input the index of the array (1 or 2).
Generated at 2026-01-29T19:15:51Z
by OpenModelicaOpenModelica 1.26.1 using GenerateDoc.mos