This components allows to model the mass flow rate through from either static boundary pressure difference or buoyancy effect through a horizontal orifice in a wall spliting two ambiances.
To be considered as an orifice, the depth of the hole in the wall has to remain bellow the hydrodynamic entrance region (Distance between the entrance of the hole and the position where the dynamic boundary layers meet).
To compute the mass flow rate throught the opening, the Newton's laws of motion is applied between the inlet and the outlet of the opening. It is assumed full conversion of potential energy (static pressure) to kinetic energy (dynamique pressure) at steady state.
The static pressure from nodes are corrected from the altitude difference between the boundary node and the opening.
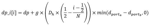
To take account of buoyancy when the density of the bottom node is lower than at the top, the opening is assumed behaves like a vertical opening where its heigh is equal to the hydraulic diameter Dh . Therefore, the orifice is split in N number of layers. The static pressure is corrected from an hydrostatic pressure:
As a reminder, the pressure drop is equal to the dynamic pressure. It is equivalent to have a pressure loss factor equation to one.
The second Newton's law of motion derives:
If massDynamics = Dynamics.SteadyState the inertial term is removed thus set to 0
To take account of the visquous and inertial forces that participates to curve the current lines from the inlet to the outlet, a discharge coefficient Cd is used. It is assumed to be constant and therefore independent of the flow regime.
Therefore, the relation to compute mass flow rate through the orifice derives:
Where:
H_fluidStream is height between the bottom and the top current lines H is the geometrical height of the orifice dp is the static pressure difference between port_a.p and port_b.p d is the upstream density Vel is fluid velocity m_flow_i is the mass flow rate through the layer index iA is cross section of the orifice Cd is the discharge coefficient To avoid infinite derivative at Vel_i=0, The square is replaced by the function regSquare2 of the MSL that replace the square by a polynomial expression to insure a finite derivative. The threshold to switch between the polynom and the square is defined by the parameter Vel_small
| Name | Description |
|---|---|
| Medium |