.TAeZoSysPro.FluidDynamics.Functions.rootsPolyOrder3

Find the roots of a 3 order polynome of kind ax3 + bx2 + cx + d = 0

Information

rootsPolyOrder3

This function computes the vector of roots, roots=(x1, x2, x3}, of third order polynom P(x):

The process to get the roots derives from CARDAN's method available at the following link.
To sum up:

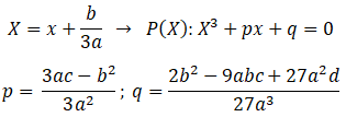
  • The following change of variable is performed to derive to:

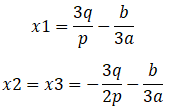
  • if the determinant Δ of the 3rd order polynom is strictly positif (Δ > 0), the roots derive:
  • if Δ = 0, the roots derive:
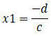
  • if Δ > 0, the only real root derives:
  • If 'a' is bellow 1e-10, the polynom is assumed to be 2nd order

    The discriminant of the second order polynom derives:

  • If Δ < 0, there are no real root and an error message is raised.
  • If Δ = 0, there is one double solution:
  • If 'a' and 'b' are bellow 1e-10, the polynom is assumed to be 1st order

    The first root derives:

    In case where a roots has no assigned value, its default value is 0.

    Interface

    function rootsPolyOrder3
      extends Modelica.Icons.Function;
      input Real a "Polynom coefficients";
      input Real b "Polynom coefficients";
      input Real c "Polynom coefficients";
      input Real d "Polynom coefficients";
      output Real roots[3];
    end rootsPolyOrder3;

    Generated at 2026-01-29T19:15:51Z by OpenModelicaOpenModelica 1.26.1 using GenerateDoc.mos