.TAeZoSysPro.HeatTransfer.BasesClasses.CarrollRadiation

Information

CarrollRadiation

This component links the heat flow with a temperature difference between a wall and the Carroll node, actually the Mean Radiant Temperature (MRT), thanks to the Stefan-Boltzmann law of radiation.
It incoporates the resistance calculation between the surface net flux and radiatity and the resistance induced by the form factor. The detail of the model is available in the theoretical note.
The following assumptions are made:

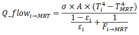
The basic constitutive equation for CarrollRadiation derives :

Where :

However, the above equation is non-linear. The idea is then to reduce this last equation to an equation of the Newton’s cooling law type. The heat transfer coefficient h_rad from the linearization of the above equation is calculated by a function.

Where :

Using a function to calculate h_rad rather than putting directly the relation between the heat flux and the temperature difference without function seems to us to allow a gain of stability. Indeed, the passage by a function seemed to us to make the calculation of the exchange coefficient explicit rather than implicit.

In addition, the transition from biquadratique to a linear relationship between the heat flux and the temperature difference makes the calculation more stable numerically

The difference between the heat flow lost or gained by the solid (the net flux) and the heat flow leaving the surface taking account of the reflectivity is seen as 'thermal resistance' R_th. This thermal resistance is given as input to the function to compute h_rad (See h_rad function description).


Generated at 2026-04-15T18:18:36Z by OpenModelicaOpenModelica 1.26.3 using GenerateDoc.mos