.TAeZoSysPro.PDE.ThermalDiffusion.CentralSecondOrder

Information

CentralSecondOrder

This model expresses the second space derivative by finite differences being second order accurate. The mesh grid can be non uniform. The scheme used is central. The control volume is cell centered. As scheme is cell centered, the flux at boundaries are reconstruced. The diffused variable is u.

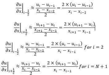
for an central scheme, the reconstruction of the first space derivative of u at the borders of the control volume derives:

For a non uniform grid cell centered, the location x for the flux reconstruction at borders of the control volume matches the edge of the mesh. However for boundary nodes, called ghost nodes, the value is vertex center because it would go over the domain otherwise. The scheme for expressing the first space derivative is respectively forward for the left side of the volume and backward for the right side.

As the time derivative and numerical solving are taken in charge by the modelica's solver, the numerical stability is not be guarranteed because Fourrier (Fo) number is not monitored and it is unknows where the solving uses implicit, explicit or hybrid method.
This model do not establish any equations for the boundary point (the red ones on the scheme above). It is the responsability of the user to supply these equations when model is inherited.

The model requires as input:


Generated at 2026-04-15T18:18:36Z by OpenModelicaOpenModelica 1.26.3 using GenerateDoc.mos