The Compressor_EN12900 model represents the compression of a fluid in a scroll compressor according to standard EN12900. It is a lumped model. It is characterized by two flow connector for the fluid inlet and outlet and by a mechanical connector for the connection with the electric driver.
The assumptions for this model are:
Modelling options
In the General tab the following option is availabe:
Polynomial expression
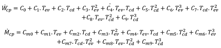
In the EN12900 standard, the compressor consumption and the mass flow rate are expressed as a function of the evaporation and condensation temperatures with the following equations:

| Name | Description |
|---|---|
| Medium | Medium model |
| CPmodel | Compressor Model - only valid for one particular working fluid! |