This simple power plant model takes the target power output as an input (u) and considers a given ramp rate (P_el_grad in % P_el_n per minute) to deliver a power output (epp.P).
The model can be tested with the following examples:
The model calculates the plant's fuel consumption based on the plant's efficiency, which in turn is dependent on the plant's operation point.
An example of the usage of this component be found in TransiEnt.Producer.Electrical.Conventional.Check.TestSecondOrderContiuousPlant
The model can be used
once the following parameters have been defined:
Physical restrictions:
P_n: nominal power of the plant. It is used to calculate the plant's investment costs.
eta_total: nominal efficiency of the plant at full load. It is used together with the part load charline to calculate the plant's efficiency at different loads
PartLoadCharline: It is used together with the eta_load parametercalculate the plant's efficiency at different loads. For further description refer to the documentation of TransiEnt.Producer.Electrical.Base.RelativePartloadEfficiency
P_el_grad:
P_el_max and P_el_min are currently not in use. These restrictions should be taken into consideration by the power dispatch algorithm.
Statistics:
Type of resource: for energy allocation statistics
Type of primary energy carrier: for CO2 emissions calculation
Producer costs: for economic calcualations
The part-load behaviour of the plant is calculated by multiyplying the nominal plant efficiency with the relative part load characteristic line of the selected type of plant.

Further details
regarding the part load efficiencies can be found in the
documentation of the package TransiEnt.Producer.Electrical.Base.RelativePartloadEfficiency
Typical resulting part load efficiencies are shown bellow:
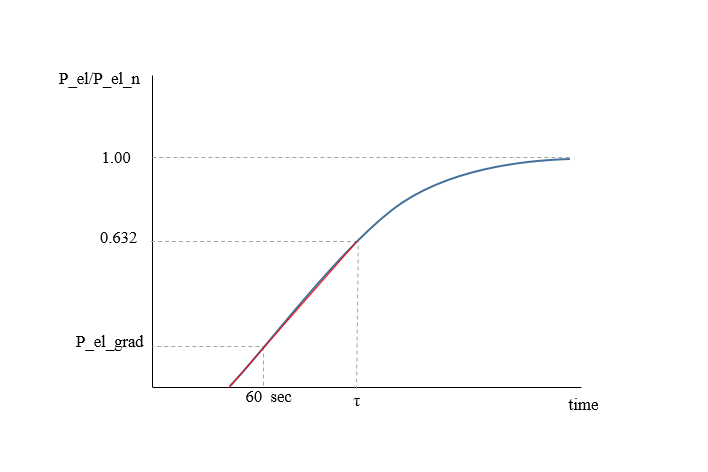
This model makes use of simple proportionality rules to roughly depict the dynamic behaviour of a power plant's output to a certain extent. The model however is far from being a physically accurate model of the plant's dynamics. The model considers
The definition of the time constant (
) of a first order linear time-invariant system is used to
set the reference values of the proportionality, i.e. the time
constant as the time after which the response of a system to a step
function reaches the 63.2% of the set value.
Using proportionality rules, the time constant of the model's first order block is definied as a function of the power plant's nominal ramp rate as follows:

This leads to the equation:

- This plant model is "always on" meaning that it reacts to power
setpoint without delay even if current output is zero
- Control power provision is not implemented
u: RealInput
epp: type of electrical power port can be chosen
no elements
no equations
Recomended nominal efficiencies (based on Strauß, 2009):
Steam power plant (hard coal) --> 0.40 - 0.45
Combined Cycle --> 0.60
GasTurbines --> 0.32
Recommended ramp rates in % P_el_n per minute (based on
Brauner et. al., 2012):
Steam power plant (hard coal) --> 4 to 6
Steam power plant (lignite) --> 2.5 to 4
Combined Cycle power plant --> 4 to 8
Gas turbine --> 12 to 15
Instead of a validation, the plausibility of the results will be model results has been roughly proofed.
The results obtained with this model in the test-model TransiEnt.Producer.Electrical.Conventional.Check.TestSecondOrderContiuousPlant_PlantStart are shown bellow together with rough reference values from [2] are displayed bellow.


[1] Strauß, Karl: Kraftwerkstechnik zur Nutzung fossiler,
nuklearer und regenerativer Energiequellen. 6. ed. Heidelberg :
Springer-Verlag Berlin Heidelberg, 2009 — ISBN 9783642014307
[2] Brauner, Günther ; Glaunsinger, Wolfgang ; Bofinger, Stefan ;
John, Markus ; Magin, Wendelin ; Pyc, Ireneusz ; Schüler, Steffen ;
Schulz, Stephan ; Schwing, Ulrich ; et al.: Erneuerbare Energie
braucht flexible Kraftwerke - Szenarien bis 2020 : Verband der
Elektrotechnik Elektronik Informationstechnik e.V., 2012
Model generalized for different electrical power ports by Jan-Peter Heckel (jan.heckel@tuhh.de) in July 2018