This package contains borefield models for the simulation of zoned borehole thermal energy storage systems. These models can simulate any arbitrary configuration of vertical boreholes with equal lengths with both short and long-term accuracy with an aggregation method to speed up the calculations of the ground heat transfer. Examples of how to use the borefield models and validation cases can be found in Buildings.Fluid.Geothermal.ZonedBorefields.Examples and Buildings.Fluid.Geothermal.ZonedBorefields.Validation, respectively.
The major features and configurations are as follows:
dp_nominal
parameter is set to a non-zero value.The model allows the simulation of multiple zones of boreholes
within the same borefield. All boreholes in a zone have the same
length hBor, the same radius rBor, and
are buried at the same depth dBor below the ground
surface (also known as the inactive borehole length).

Most of the parameter values of the model are contained in the
record called borFieDat. This record is composed of
three subrecords: filDat contains the thermal
characteristics of the borehole filling material,
soiDat contains the thermal characteristics of the
surrounding soil, and conDat contains all others
parameters, namely parameters defining the configuration of the
borefield. The structure and default values of the record are in
the package: Buildings.Fluid.Geothermal.ZonedBorefields.Data.
The borFieDat record can be found in the
Buildings.Fluid.Geothermal.ZonedBorefields.Data.Borefield
subpackage therein. Examples of the subrecords conDat,
filDat and soiDat can be found in
Buildings.Fluid.Geothermal.ZonedBorefields.Data.Configuration,
Buildings.Fluid.Geothermal.ZonedBorefields.Data.Filling and
Buildings.Fluid.Geothermal.ZonedBorefields.Data.Soil,
respectively.
It is important to make sure that the borCon
parameter within the conDat subrecord is compatible
with the chosen borefield model. For example, if a double U-tube
borefield model is chosen, the borCon parameter could
be set to both a parallel double U-tube configuration and a double
U-tube configuration in series, but could not be set to a single
U-tube configuration. An incompatible borehole configuration will
stop the simulation.
Other than the parameters contained in the
borFieDat record, the borefield models have other
parameters which can be modified by the user. The
tLoaAgg parameter is the time resolution of the load
aggregation for the calculation of the ground heat transfer. It
represents the frequency at which the load aggregation procedure is
performed in the simulation. Therefore, smaller values of
tLoaAgg will improve the accuracy of the model, at the
cost of increased simulation times due to a higher number of events
occuring in the simulation. While a default value is provided for
this parameter, it is advisable to ensure that it is lower than a
fraction (e.g. half) of the time required for the fluid to
completely circulate through the borefield, as increasing the value
of tLoaAgg beyond this will result in non-physical
borehole wall temperatures.
The nCel parameter also affects the accuracy and
simulation time of the ground heat transfer calculations. As this
parameter sets the number of consecutive equal-size aggregation
cells before increasing the size of cells, increasing its value
will result in less load aggregation, which will increase accuracy
at the cost of computation time. On the other hand, decreasing the
value of nCel (down to a minimum of 1) will decrease
accuracy but improve computation time. The default value is chosen
as a compromise between the two.
Further information on the tLoaAgg and
nCel parameters can be found in the documentation of
Buildings.Fluid.Geothermal.ZonedBorefields.BaseClasses.HeatTransfer.GroundTemperatureResponse.
Other parameters which can be modified include the dynamics,
initial conditions, and further information regarding the fluid
flow, for example whether the flow is reversible. It is worth
noting that regardless of the energyDynamics chosen,
the steadyState parameter of the borehole filling
material can be set to true to remove the effect of
the thermal capacitance of the filling material in the borehole(s).
The nSeg parameter specifies the number of segments
for the vertical discretization of the borehole(s). Further
information on this discretization can be found in the "Model
description" section below.
In every zone, all boreholes are connected in parallel. Models
that instantiate this borefield model need to provide the pressure
drop or mass flow rate that is needed to distribute the flow to the
different zones. Each zone of a borefield is connected between its
port_a and port_b, e.g., flow that enters
port_a[1] leaves at port_b[1]. Zones that
operate in series can be configured by connecting the fluid ports
of the respective zones. For example, suppose the borefield has the
instance name borFie. Then, the connect statement
connect(borFie.port_b[1], borFie.port_a[2]);
connects the outlet of the first zone to the inlet of the second zone.
The borefield models rely on the following key assumptions:
The borefield models are constructed in two main parts: the
borehole(s) and the ground heat transfer. The former is modeled as
a vertical discretization of borehole segments, where a uniform
temperature increase or decrease (due to heat injection or
extraction) is superimposed to the far-field ground temperature to
obtain the borehole wall temperature. The thermal effects of the
circulating fluid (including the convection resistance), of the
pipes and of the filling material are all taken into consideration,
which allows modeling short-term thermal effects in the borehole.
The borehole segments do not take into account axial effects, thus
only radial (horizontal) effects are considered within the
borehole(s). The thermal behavior between the pipes and borehole
wall are modeled as a resistance-capacitance network, with the
grout capacitance being split in the number of pipes present in a
borehole section. The capacitance is only present if the
steadyState parameter of the borehole filling material
is set to false. The figure below shows an example for
a borehole section within a single U-tube configuration.

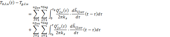
The second main part of the borefield models is the ground heat transfer. The heat transfer in the ground is modeled analytically as a superposition of convolution integrals between the heat flux at each of the borehole segments and the borefield's thermal response factor.

The model uses a load aggregation technique to reduce the time required to calculate the borehole wall temperature changes resulting from heat injection or extraction.
The ground heat transfer takes into account both the borehole axial effects and the borehole radial effects which are a result of its cylindrical geometry. Further information on the ground heat transfer model and the thermal temperature response calculations can be found in Buildings.Fluid.Geothermal.ZonedBorefields.BaseClasses.HeatTransfer.GroundTemperatureResponse.
The calculation times for both the initialization and the time integration depends on the square of the number of zones and the number of segments. The number of boreholes should only weakly impact on the initialization time.