.Buildings.Fluid.Movers.BaseClasses.Validation.NegativePressureOrFlow

A validation model that tests the mover behaviour when the pressure rise or flow is negative

Information

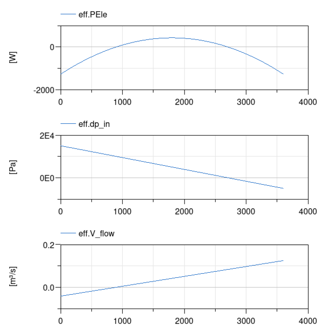
Without the constraint that Wflo = V̇ Δp ≥ 0, this validation model would produce negative computed mover power when the pressure rise or the flow rate is forced to be negative, as shown below.

image

Contents

Name Description
 Medium

Revisions


Generated at 2026-04-15T18:18:36Z by OpenModelicaOpenModelica 1.26.3 using GenerateDoc.mos