.TAeZoSysPro.HeatTransfer.BasesClasses.PartialWall

Information

PartialWall

This components performed a one dimensionnal discretisation over a solid wall. For the discrete scheme, it uses an inheritance of a model CentralSecondOrder of the PDE.ThermalDiffusion subpackage.

Meshing

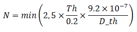
The parameter N for number of discrete layers is by default calculated from the thermal diffusivity of the wall, its thickness and a reference wall having a sufficient number of nodes with regard to the desired precision. In that case, the minimal number of node is 2. The user can, if desired, manually define the value of the parameter N.

The reference wall is a concrete wall with:

Regarding the mesh shape, the position of vertices in the mesh are given via a function allowing to have uniform or non uniform grid, to have boundary layers shape from Biot number etc. The list of mesh functions is available in the subpackage Functions.MeshGrid.

Boundaries management

The ports temperature should be the boundary edges temperatures. As the scheme is cell vertex, the boundary temperatures are computed from flow conservation. Therefore, the boundary vertices are non inertial. However it can induced numerical difficulties. In that case, it is better to use the boundary node (cell centered) temperature as port temperature. It however becomes impossible to fix the wall surface temperature.

Initialisation

If energyDynamics parameter is FixedInitial, the initial temperature is equal to the value of the T_start parameter.

Regarding the steady state initialization (energyDynamics = SteadyStateInitial), it has been chosen to do not set the time derivative to zero which is the definition of the steady state but rather to force a straight slope profile within the wall. The slope of the profil is based on the boundary temperature difference and the wall heat resistance. Physically is it equivalent but it let a degree of freedom on the time derivative.

Regarding the steady state (energyDynamics = SteadyState), it has been chosen to do not change the diffusion equation but rather to set the coefficient of the time derivative CoeffTimeDer in the model CentralSecondOrder to 0. Multiple a time derivative per 0 rather than remove it can lead to numerical instabilities but it is simpler regarding the coding.


Generated at 2026-04-14T18:18:34Z by OpenModelicaOpenModelica 1.26.3 using GenerateDoc.mos